咨詢熱線
18330064396摩擦系數會影響最終的預緊力,這方法大家都已經比較認同和重視,但是,對于自鎖螺母,大家是如何設計這個擰緊扭矩呢?
在旋入扭矩階段,螺栓的軸力基本為零,基本呈水平直線形態,也就是說即使顯示出一定的擰緊扭矩了,但是,此時螺栓的軸力是基本為零的。
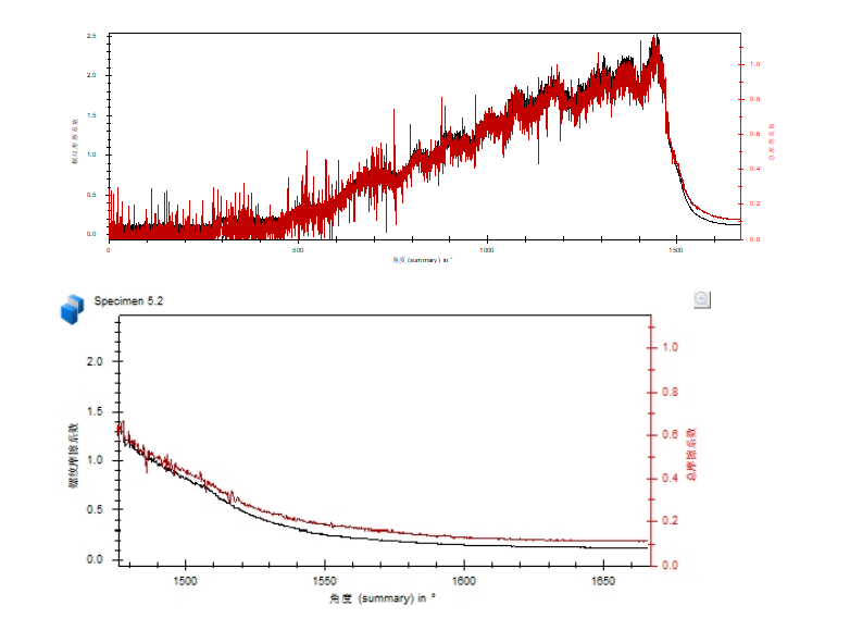
鎖緊螺母支撐面摩擦系數相對來說變化不大,在螺母貼合被連接件以后,螺母的支撐面摩擦系數與正常非鎖緊螺母的摩擦系數曲線基本一致,隨著預緊力的(螺栓軸力)的增加支撐面摩擦系數基本不會產生很大的變化。
如果鎖緊螺母正常擰緊的時候,在鎖緊螺母按照要求的摩擦系數進行開發時,就按照正常擰緊扭矩擰緊即可,不需要再考慮旋入扭矩的問題了。
因此,在鎖緊螺母開發時候,摩擦系數的測試也是按照75%的保證載荷時進行的,也就是說在正常擰緊扭矩擰緊時摩擦系數是滿足開發時要求的摩擦系數的。
另外,需要說明的一點,對于螺栓頭、螺母支撐面帶齒的螺栓或螺母來說,VDI 2230標準也沒有說明在何種情況下可以不需要考慮,也就是對于帶齒的螺栓螺母,在任何情況下都需要考慮頭下的這個附加扭矩。
可以這樣理解:對于帶齒的螺栓螺母,在擰緊過程中摩擦系數(或者說等效摩擦系數)是會逐漸增大的,特別在預緊力比較大的時候,等效摩擦系數會非常大,相當于螺栓頭會切削這個被連接件的表面。
對于自鎖螺母,如果擰緊扭矩為正常的扭矩,計算擰緊扭矩時候不需要加上螺紋部分的旋入扭矩,因為,此時正常擰緊扭矩預緊力比較高。
對于部分采用自鎖螺母的零件,擰緊扭矩遠遠低于正常擰緊扭矩,如50%的正常擰緊扭矩,此時就需要考慮自鎖螺母的旋入扭矩問題,這一點非常重要,否則,實際夾緊力會達不到所需要的夾緊力要求,造成零件的松脫。
對于帶齒螺栓螺母,就需要在任何情況下都要對這個附加扭矩有所考慮。